Home
Actualités
Date à Retenir
Adhérer
Facebook
L'équipe
Contact
Profil
Liens
CFDT STELLANTIS VALENCIENNES
Partager
post
CapFun 2026
Rédigé le 04/01/2026
CFDT Stellantis VA
Partager
post
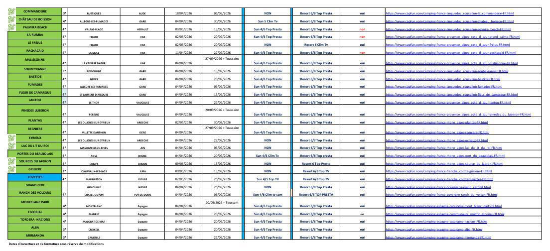
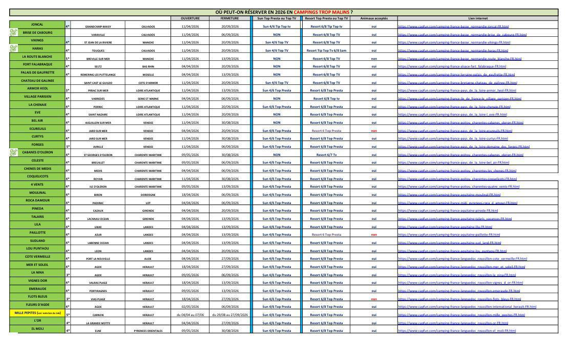
Plaquette_CSE_Cap_Fun_2026